Real Images and Virtual Images
The image formed by the actual intersection of refracted rays through a lens is called the real image. The real images can be caught on the screen and they are inverted.
The images that appear without actual intersection of the refracted rays are called virtual images.
Convex Lens
As the object is moved closer to the lens, the image distance increases and the image size increases. At 2F, the object distance equals the image distance. As the object distance approaches one focal length, the image distance and size approach infinity. When the object distance is one focal length, there is no image. When the object distance is less than one focal length, the images are virtual erect and located on the same side of the object. Finally, if the object distance approaches zero, the image distance also becomes zero. The image size ultimately becomes equal to the object size.

Concave Lens
When an object is moved closer to the concave lens, the image distance decreases and the image size increases with respect to that of previous image. As the object approaches the lens, its virtual image on the same side of the lens also approaches the lens and image size increases. If the object is placed at the optic centre, the virtual erect image of same size will be formed at the optic centre itself.

Lens Formula & Power of the Lens
The relationship between the object distance (u), the image distance (v) and the focal length (f) of the lens is called lens formula.

From the above formula, Focal length of a lens is obtained as follows:

The power of a lens is the measure of its ability to produce convergence or divergence of a parallel beam of light. The power of a lens depends on its focal length. The power of a lens is defined as the reciprocal of its focal length in metres. The unit of power of a lens is dioptre (D).
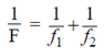
If two lenses of focal length f1 and f2 are in contact, then:

And
P = P1 +P2
For example, if a lens has a focal length of 40 cm, its power would be: 1/40 x10-2= 100/40 = 2.5D
sandy raju
August 23, 2014 at 6:47 pmnice work